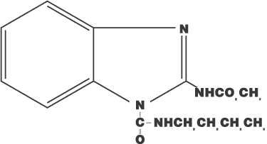
Benlate

Dupont site

Tampa Tribune Online Article

Pesticide Poisoning Victim Support Page

Diann O'Riordan Site

Business Insurance Article

 

 

Home - Contents - Cases